Mit freundlicher Genehmigung von Mr. Graham Bantock und der Redaktion von "model yachting newsletter" aus dem Englischen übersetzt von Jürgen Schwiering
Wenn man einen Mast für ein neues Boot auswählt, das womöglich eine abweichende Größe, eine geänderte Segelfläche oder eine andere Verdrängung hat, so basiert das häufig auf angeborenem Schätzvermögen, auf aus Versuchen gewonnenen Erfahrungen oder auf Ratschlägen anderer Personen. Aufgrund fehlender umfangreicher, verwertbarer Angaben über die normalerweise erhältlichen Masten geschieht die Wahl meistens willkürlich.
Eine Anzahl von Eigenschaft wird oft in Verbindung mit Masten gebraucht, z.B. steif, flexibel, biegsam, unbiegsam, leicht, schwer, und bezüglich des Materials z.B. stabil, schwach, elastisch, weich und hart. Aber dies sind recht vage Aussagen von nur qualitativem Wert. Sie drücken nicht präzise die Eigenschaften eines Mastes aus und sind daher nur von geringem Nutzen für unsere Mastwahl. Heutzutage, wo ein Kohlefasermast mehr als ein handelsüblich hergestellter Bootsrumpf kosten kann und ein Holzmast andererseits ausreichend ist, um damit den 3. Platz bei den US-Meisterschaften in der M-Klasse zu gewinnen, erscheint es angebracht, aussagefähige Vergleiche unter den verschiedenen Masten anzustellen.
Als Einführung in die Begriffe, die wir zur Beschreibung der Masteigenschaften gebrauchen, lassen Sie uns überlegen, was geschieht, wenn wir einen einfachen Holm gemäß Abbildung 1 belasten. Dieser Holm wird in seiner Mitte mit einem Gewicht von 2 kp belastet. Wenn das Gewicht entfernt wird, nimmt der Holm wieder seine ursprüngliche Form an (in diesem Fall gerade). Der Holm ist daher stabil genug, die Belastung ohne nachbleibende Verformung zu überstehen. Wird der Holm belastet, biegt er sich nach unten durch, und diese Biegung ist das Maß der Elastizität. Jedoch ist Elastizität im Allgemeinen keine nützliche Eigenschaft. Ihr Gegenteil, die Härte, ist genau gesagt der Begriff, der aussagt, wie gut ein Mast einer Biegekraft widersteht. Geringe Härte bedeutet große Biegung bei gegebener Belastung, große Härte dagegen setzt ein kleines Biegemoment voraus.
Anschaulich gesagt, hängt die Härte unserer Masten von zwei Dingen ab
- a) dem Material, aus dem er hergestellt ist und
- b) seinem geometrischen Querschnitt.
Härte ist - physikalisch ausgedrückt - das Ergebnis einer Multiplikation aus dem Trägheitsmoment des Mastes und des Elastizitätsmoduls seines Materials, wie nachfolgend aufgezeigt:
(1) Härte = EI. Dabei bedeutet E = Elastizitätsmodul (kp/mm²) und I = Trägheitsmoment (mm4)
Trägheitsmoment
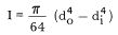
Der Faktor I gibt die Fähigkeit des Holmes an, Biegemomenten zu widerstehen. Er ist natürlich höher für größere Rohrdurchmesser und dickere Wandstärken. Für ein run- des Rohr wird das Trägheitsmoment mit folgender Formel errechnet:![]()
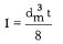
Für dünnere Wandstärken, im Vergleich zum Durchmesser, heißt das: ![]()
Dabei bedeutet dm den Durchschnitt von do und di und t gibt die Wandstärke an.
Klar, dass der Durchmesser größere Auswirkungen auf den I-Wert hat - und damit auf die Härte - als die Wandstärke, da die Durchmesserangabe in der Gleichung kubisch ist. Eine Verdoppelung der Wandstärke heißt zweifaches Gewicht und doppelten I-Wert, wogegen Verdoppelung des Durchmessers zwar auch doppeltes Gewicht, aber gleichzeitig Anstieg des I-Wertes auf das 8fache bedeutet.
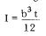
Wenn man die Fähigkeit eines Holmes betrachtet, einer Biegung zu widerstehen, ist es wichtig, I von der entsprechenden Achse dieses Holmes zu besehen. Natürlich würde es überhaupt nichts ausmachen, wenn man den Holm in Abbildung 1 um 90° oder einen anderen beliebigen Winkel drehen würde. Das wäre nicht der Fall bei einem Holm mit rechteckigem Querschnitt, z.B. einer Kiefernleiste von 50 mm x 25 mm.
Für einen solchen rechteckigen Querschnitt errechnet man I mit folgender Gleichung: ![]()
Ersetzt man das Rohr in Abbildung 1 durch diese Leiste mit der größten Abmessung senkrecht (z.B. a = 50 mm), so ist der I- Wert viermal so groß, als wenn man die Leiste um 90°drehen würde (z.B. b = 25 mm).
Jetzt aber zu den Masten Nr. 8 bis 15 (Tabelle I). Diese haben je zwei I-Werte, die für uns von Interesse sind. Der eine gilt für die Vor- und Rückbiegung (Iyy), und der andere für die seitliche Biegung (Ixx). So ist es nicht überraschend, dass der Unterschied zwischen lyy und Ixx immer dann am größten ist, wenn auch die Dimensionen des Mastquerschnittes zwischen Längs- und Querbiegung am größten sind.
Elastizitätsmodul
Das Elastizitätsmodul - E in Gleichung (1) - gibt den Widerstand des Materials selbst gegen Biegungseinflüsse wieder. Die folgende Auflistung zeigt die E-Werte einiger Materialien in aufsteigender Reihenfolge: Blei, Aluminium, Kupfer, Stahl.
Für uns von Interesse sind die verschiedenen Aluminiumlegierungen, Glas- und Kohlefasererstärkte Kunststoffe und Holz; Materialien also, die auf Grund ihres Verhältnisses von E-Wert zu Gewicht bedeutsam sind.
Typische Werte für solche Materialien sind:
|
Kiefernholz |
1 000 kp/mm² |
|
Glasfaser |
8 000 kp/mm² |
|
Axial angeordnetes Glasfasergewebe |
2 700 kp/mm² |
|
Kohlefaser |
24 000 kp/mm² |
|
Axial angeordnetes Kohlefasergewebe |
13 000 kp/mm² |
|
Aluminiumlegierung |
7 000 kp/mm² |
Verformung
Die Verformung in der Mitte des Holmes in Abb. 1 ergibt sich aus folgender Formel: ![]()
Die Abweichung verdoppelt sich, wenn die Belastung verdoppelt wird oder EI halbiert wird. Im Falle unserer Modellsegeljachtmasten ist die Belastung nicht auf die Mitte konzentriert, sondern beinahe gleichmäßig über die gesamte Mastlänge verteilt. Das Grundprinzip jedoch - wie in Gleichung (5) dargestellt - bleibt stets gleich. Bei einem Mast haben wir jedoch wenig Einfluss auf die einwirkende Kraft. Diese ist abhängig von Krängungswinkeln und Antriebskräften, die auf das Rigg wirken. Hierbei sollte man üblicherweise immer von der größtmöglichen Krafteinwirkung ausgehen.
Wir können jedoch den Wert EI durch die Wahl des Mastes beeinflussen. Gleichung (5) kann dann folgendermaßen geändert werden:![]()
Eine Möglichkeit, den EI-Wert eines Mastes herauszufinden, ist, diesen wie in Abbildung 1 dargestellt aufzuhängen, in der Mitte zu belasten und die Abweichung dann zu messen. Auf diese Weise wurden die verschiedenen Werte für die Masten Nr. 1-17 in Tabelle I ermittelt. Diese „Versuchsreihe" erforderte weniger Zeit als umfangreiche Berechnungen.
Festigkeit
Als wir eingangs über Abbildung 1 sprachen, wurde angenommen, dass der Holm nach Entlastung durch das 2-kp-Gewicht wieder in seine Originalform zurückkehrt, also keine bleibende Verformung erfährt.
Man findet viele Masten, die sich ganz erheblich biegen, meistens dann, wenn sie von einer harten Böe auf Vor-Wind-Kursen getroffen werden oder wenn das Achterstag zu stark durchgesetzt wird. Doch normalerweise erholt sich ein Mast von den so hervorgerufenen Verformungen wieder, und zwar deswegen, weil der Ermüdungspunkt des Mastmaterials so noch nicht erreicht wird, um dauerhafte Schäden davonzutragen. So kommt es, dass wir bei den verwendeten Materialien für unsere Masten und durch deren Querschnittsgeometrie keine Probleme hinsichtlich Festigkeit mit unseren Riggs haben.
Nehmen wir z.B. ein 2-kp-Gewicht, mit dem ein horizontal liegender 2-Meter-Mast aus Aluminium mit einem halben Inch Durchmesser in der Mitte belastet wird, so wäre die Verformung nur ca. 10-12 cm. Das aber ist praktisch nur der halbe Wert, der erforderlich ist, um zu Materialermüdung zu führen.
Die anspruchsvollere Methode - wie sie bei Großjachten angewendet wird, um dünnere und leichtere Masten nutzen zu können - ist, die Festigkeit zu reduzieren bei gleichzeitiger Beibehaltung der entsprechenden Masthärte. So gibt es bei Großjachten auch vergleichsweise mehr Mastbrüche als bei Modelljachten. Im Modelljachtbereich kann es erst dann zu Mastproblemen kommen, wenn auch hier die Suche nach Gewichtseinsparung konsequent verfolgt wird.
Schlußfolgerungen
Tabelle I beinhaltet die in dieser Untersuchung getesteten Masten, gibt ihre EI- Werte (EI yy für Längsrichtung, EI xx für Querrichtung) und ihr Gewicht per Meter an.
Das Beispiel Kohlefasermast - Mast Nr. 7 - ist besonders erwähnenswert. Dadurch, dass dieser Mast sich verjüngt, ist ein einziger EI-Wert nicht angebracht. Es werden daher mehrere Werte angegeben. Der Durchmesser zwischen Mastfuß und Mastspitze wurde gemittelt und mit 13,5 mm als repräsentativ für den ganzen Mast angenommen, was durchaus sinnvoll erscheint. Mast Nr. 7 ist daher ungefähr zweimal so steif wie ein Aluminiummast von 12,7 mm Durchmesser, wobei noch Gewicht eingespart wird.
Wenn wir uns an Gleichung (3) erinnern sehen wir, dass die E I-Werte für die Masten Nr. 1-6 keiner Erklärung bedürfen. Die verschiedenen Groovy-Masten Nr. 8,9 und 10 dagegen zeigen im Vergleich zu den runden Alu-Masten bei gleichem Verhältnis. Durchmesser (Mast Nr 3,4 und 5) ein um 20 %, 10 % und 5 % geringeres Härte-zu-Gewicht-Verhältnis.
Das ist nicht überraschend, da ein einfaches, rundes Rohr, bei dem das ganze Material auf die Außenseite konzentriert ist, ein höheres Verhältnis von Härte zu Gewicht bei gleichem Durchmesser und Material haben muss. Der Verlust an Härte ist eben der Preis für den aerodynamischen Vorteil, der durch die Keep gewonnen wird.
Der Verbund-Mast Nr. 11 besteht aus dem12,7 mm Groovy-Mast, der mit Kohlefasern und Epoxyd-Harz axial ummantelt wurde. Der äußere Durchmesser ist dadurch auf 13,5 mm angewachsen, und die Wandstärke hat um 0,4 mm zugenommen. Verglichen mit Mast Nr. 9 (vergleichbare Härte) wurden 13 g/m bei einem um 1 Millimeter geringeren Durchmesser gewonnen.
Bei den tropfenförmigen Masten Nr. 12, 13 und 14 ist der EI yy-Wert etwa zweimal so groß wie der EI xx-Wert. Das ist ein Vorzug ihrer Geometrie, und sie sind daher ideal als drehbare Masten, wo große Härte in Längsrichtung erforderlich ist, als Ausgleich für ihre auf Deck angeordnete Lagerung. Vergleicht man die Masten Nr. 12 und 13 mit 4 und 5, so kann bei letzteren ein etwas reduzierter Härtewert festgestellt werden (EI yy und EI xx sind dabei Durchschnittswerte). Aber auch hier ist das ein Zugeständnis an die Keep.
Mast Nr. 14 ist im Grunde eine dickwandige Version von Mast Nr. 12, und als Ergebnis hat man eine doppelt so große Härte mit einem aber auch doppelt so hohen Gewicht. Bei Mast Nr. 15 sind im Großschiffbau sehr gute aerodynamische Eigenschaften nachgewiesen worden. Aber zum Teil wegen seines Querschnittes, hauptsächlich aber wegen seiner Wandstärke ist er schwerer als Masten mit vergleichbarer Härte.
Die Angaben über die Masten Nr. 16 und 17 unterscheiden sich von allen anderen insofern, als ihre Werte errechnet und nicht durch Versuche ermittelt wurden. Ein Rundholz aus Kiefer von einem Modellbaugeschäft wurde hinsichtlich seines E-Wertes überprüft und genau gewogen, um seine Dichte herauszufinden. Bei gegebenem Durchmesser kann ein Holzmast - selbst wenn er massiv ist - nicht mit einem Alu-Mast in Bezug auf sein Härte-zu-Gewicht-Verhältnis konkurrieren. Nimmt man jedoch einen großen Durchmesser in Kauf, so kann ein hölzerner Mast durchaus bei gleicher Härte und leichter Gewichtseinsparung mit z.B. Mast Nr. 3 verglichen werden.
Original erschienen in der Zeitschrift Schiffsmodell des Neckar-Verlags 8/1983 Autor:Jürgen Schwiering. Sollten hiermit irgendwelche Rechte verletzt werden bitte melden. Ich werde dann den Artikel sofort entfernen.



